k392. 分段函數
標籤 :
通過比率: 70人/ 74人 ( 95%) [非即時]
評分方式:
Tolerant

最近更新 : 2023-04-22 16:19

內容

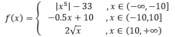
設計以下分段函數,用戶能夠提供x值進行函數求值。

輸入說明

實數x的值

輸出說明

f(x)的值(精確至小數點後1位)

範例輸入 #1
-10
範例輸出 #1
99967.0
測資資訊:
記憶體限制: 64 MB
不公開 測資點#0 (100%): 1.0s , <1K
提示 :
標籤:
出處:
[管理者: 1450840-0@g. ... (肥余好朋友) ]

本題狀況 本題討論 排行

編號 身分 題目 主題 人氣 發表日期
35666 1452945-9@g. ... (sandy koya) k392
作者抄題
419 2023-06-11 15:44
35664 1360467-8@g. ... (三國迷李牧粉) k392
346 2023-06-11 14:25