f582. 4. 病毒演化
標籤 : APCS DP tree
通過比率: 292人/ 373人 ( 78%) [非即時]
評分方式:
Tolerant

最近更新 : 2021-01-05 12:04

內容

科學家發現了 $n$ 種病毒,編號分別是 $1$ 到 $n$,已知每一種病毒可以用一個RNA 序列來表達,RNA序列是一個長度為 $m$ 的字串,其中包含 A、U、C、G、@ 等字元,其中 @ 為科學家沒觀察清楚的位置,可能為 A、U、C、G 其中任何一種。

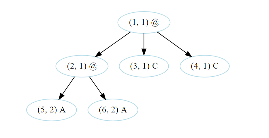
科學家也研究出了這些病毒的演化關係,除了一個最原始的病毒以外,每一種病毒都是從另一個病毒演化而來的,這些病毒會構成一個樹狀結構的病毒族譜(如圖)。

兩個 RNA 序列的的距離定義為它們的漢明距離,也就是相異的位數個數。更具體的說,對於兩個長度都是$m$ 的 RNA 序列$a, b$,它們的漢明距離就是有幾個位置 $i$ 滿足 $a_i \neq b_i$。

你想知道目前的病毒族譜的每一個 RNA 序列中的 @ 字元的填入 A、U、C、G 中的其中一個字元後,每一個病毒與它演化來源的病毒的距離總合最小值是多少?

輸入說明

第一行包含兩個正整數 $n, m (1\leq n \leq 1000, 1\leq m \leq 80)$。

接下來 $n$ 行,每行表示一種病毒,包含兩個整數 $i, j$ 與一個字串 $s$,表示編號 $i$ 的病毒是從編號 $j$ 的病毒演化而來的,且編號 $i$ 的病毒的 RNA 序列為 $s$。若編號 $i$ 的病毒是最原始的病毒,則 $j=i$,保證這樣的病毒只會有一個。

 

配分

  • 20分: RNA 序列中沒有 @,每個病毒都滿足 $j < i$。
  • 40分: 每個病毒都滿足 $j < i$。
  • 40分: 同原題目限制。
輸出說明

輸出每種病毒到它演化來源的病毒的距離總和最小值。

範例輸入 #1
2 3
1 1 AAC
2 1 A@@
範例輸出 #1
0
範例輸入 #2
6 1
1 1 @
2 1 @
3 1 C
4 1 C
5 2 A
6 2 A
範例輸出 #2
1
測資資訊:
記憶體限制: 256 MB
公開 測資點#0 (5%): 0.5s , <1M
公開 測資點#1 (5%): 0.5s , <1M
公開 測資點#2 (5%): 0.5s , <1M
公開 測資點#3 (5%): 0.5s , <1M
公開 測資點#4 (5%): 0.5s , <1M
公開 測資點#5 (5%): 0.5s , <1M
公開 測資點#6 (5%): 0.5s , <1M
公開 測資點#7 (5%): 0.5s , <1M
公開 測資點#8 (5%): 0.5s , <1M
公開 測資點#9 (5%): 0.5s , <1M
公開 測資點#10 (5%): 0.5s , <1M
公開 測資點#11 (5%): 0.5s , <1M
公開 測資點#12 (5%): 0.5s , <1M
公開 測資點#13 (5%): 0.5s , <1M
公開 測資點#14 (5%): 0.5s , <1M
公開 測資點#15 (5%): 0.5s , <1M
公開 測資點#16 (5%): 0.5s , <1M
公開 測資點#17 (5%): 0.5s , <1M
公開 測資點#18 (5%): 0.5s , <1M
公開 測資點#19 (5%): 0.5s , <1M
提示 :
標籤:
APCS DP tree
出處:
2020年7月 APCS [管理者: cthbst (吳宗達) ]

本題狀況 本題討論 排行

編號 身分 題目 主題 人氣 發表日期
37843 edoctopus322 ... (Moon Jam) f582
1056 2023-10-13 21:27