d486. Fibonacci 's computation process
標籤 :
通過比率: 720人/ 797人 ( 90%) [非即時]
評分方式:
Tolerant

最近更新 : 2011-09-13 17:29

內容

 費氏數列(Fibonacci Sequence), 又稱為黃金分割數列

 

 在數學上,斐波那契數列是以遞歸的方法來定義:

 int  fibonacci(int n) {

if( n < 2 )

return 1 ;

else

return fibonacci(n-1)+fibonacci(n-2);

 } 

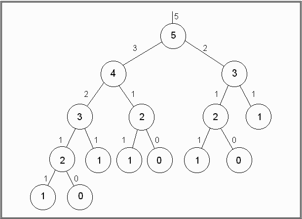
 用文字來說,就是斐波那契數列由 0 和 1 開始,之後的斐波那契數就由之前的兩數相  加。

 請大家把過程印出來

  

輸入說明

 每組測資一個數字 n

 0 <= n <= 15 

 讀到 0 為結尾,不必輸出

輸出說明

 先從印出 f(n) 開始

 下面開始依序分解 ( 每個項目以空白隔開 )

 分解到整行只剩 f(0) 或 f(1) 停止 ( 詳請參考範例輸出 )

 每組測資的最後一行印出 f(n) 的答案並換兩行 ( 也就是說兩組測資輸出之間有一空行 )

範例輸入 #1
1
3
5
0
範例輸出 #1
f(1) 
f(1) = 1

f(3) 
f(2) f(1) 
f(1) f(0) f(1) 
f(3) = 3

f(5) 
f(4) f(3) 
f(3) f(2) f(2) f(1) 
f(2) f(1) f(1) f(0) f(1) f(0) f(1) 
f(1) f(0) f(1) f(1) f(0) f(1) f(0) f(1) 
f(5) = 8
測資資訊:
記憶體限制: 512 MB
公開 測資點#0 (100%): 1.0s , <1K
提示 :

 若輸出敘述不清楚請來信指教

 請用遞迴解題

標籤:
出處:
學姊 [管理者: example (學姊) ]

本題狀況 本題討論 排行

編號 身分 題目 主題 人氣 發表日期
24097 fire5386 (becaidorz) d486
用queue
1381 2021-01-18 19:35
18286 pinglunliao (Holan-Liao) d486
解題策略
2158 2019-07-03 10:48