b808. 12005 - Find Solution
標籤 : prime
通過比率: 93人/ 158人 ( 59%) [非即時]
評分方式:
Strictly

最近更新 : 2023-07-07 11:38

內容

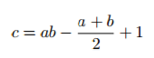
看以下的方程式:



現在給你 c ,請算出 (a, b) 有多少種可能的解。 a,b 都必須是正整數。

輸入說明

輸入含有多筆測資,每筆測資一列,含有一個整數 c ( 0 < c <= 1014 )。 當 c=0 時表示輸入結束。

輸出說明

對每組測資先輸出 c ,空一格後再輸出(a, b) 有多少種可能的解。以第一筆範例測資為例: (a,b)共有8個可能的解: (1, 2039), (2, 680), (5, 227), (14, 76), (76, 14), (227 5), (680, 2)  (2039, 1)

範例輸入 #1
1020
400
0
範例輸出 #1
1020 8
400 2
測資資訊:
記憶體限制: 64 MB
公開 測資點#0 (100%): 3.0s , <1M
提示 :
標籤:
prime
出處:
UVa 12005 [管理者: yatsen (愛情少校) ]

本題狀況 本題討論 排行

編號 身分 題目 主題 人氣 發表日期
39390 leolin0214@g ... (林祺祐) b808
假解會過
340 2024-02-14 09:13
19658 jack621224 (YJLegend) b808
1430 2019-10-17 18:19