#46028: python


sea810749@gmail.com (陳瑞祥)

學校 : 不指定學校
編號 : 300500
來源 : [219.69.66.52]
最後登入時間 :
2025-08-12 01:28:44

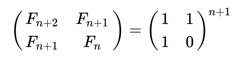
維基百科費波那契數列當中提到,

若以F_1,F_2,...表示費氏數列的第幾項,

則有gcd(F_m,F_n)=F_{gcd(m,n)}

 

接下來要加速費氏數列的求法,

維基百科費波那契數列當中提到,

因此我們可以用矩陣乘法來求得費氏數列,

而矩陣乘法的運算可以用平方求冪來加速,
再用sys.stdin加速輸入輸出,

就可以在時間內完成了