#39303: 只要一行,兩個數字都可以公式解 !


wangjay0401@gmail.com (stpuienius)

學校 : 國立中央大學附屬中壢高級中學
編號 : 236254
來源 : [42.73.102.251]
最後登入時間 :
2025-06-09 20:45:47

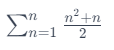
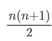
f(n)的公式應該不難推導,就是等差級數的公式

第二個函數g()有一個小細節

g(1) = f(1)

所以可以發現

g(n) = f(1) + f(2) + f(3) + .... + f(n)

化簡後

                                                                                                                                             by   stupienius